
VARTA瓦爾塔藍(lán)牙耳機(jī)電(diàn)池CP1254 A4
Model:CP1254 A4 DS63145
brand:VARTA
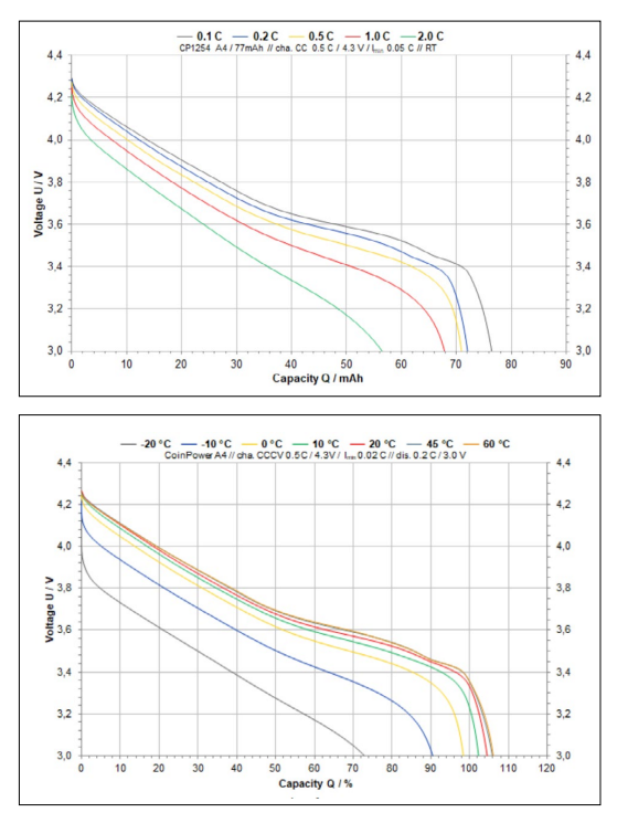
Voltage(V):3.7
capacity(mAh):
size(mm):12.1*5.4
Texture of material:Graphite – layered metal oxide (LiNixMnyCozO2)
Adaptable products: Bluetooth headset Battery
working temperature range:-20°C~ +60°C
Product introduction
CP1254 A4 DS63145 VARTA Bluetooth headset Battery




Kai Chen 